مدار الساعة - صدرت الإرادة الملكية السامية بالموافقة على قانون الموازنة العامة لسنة 2025.
وكان القانون قطع مراحله الدستورية كاملة، حيث تم إقراره من قبل مجلس الأعيان كما ورد من مجلس النواب.
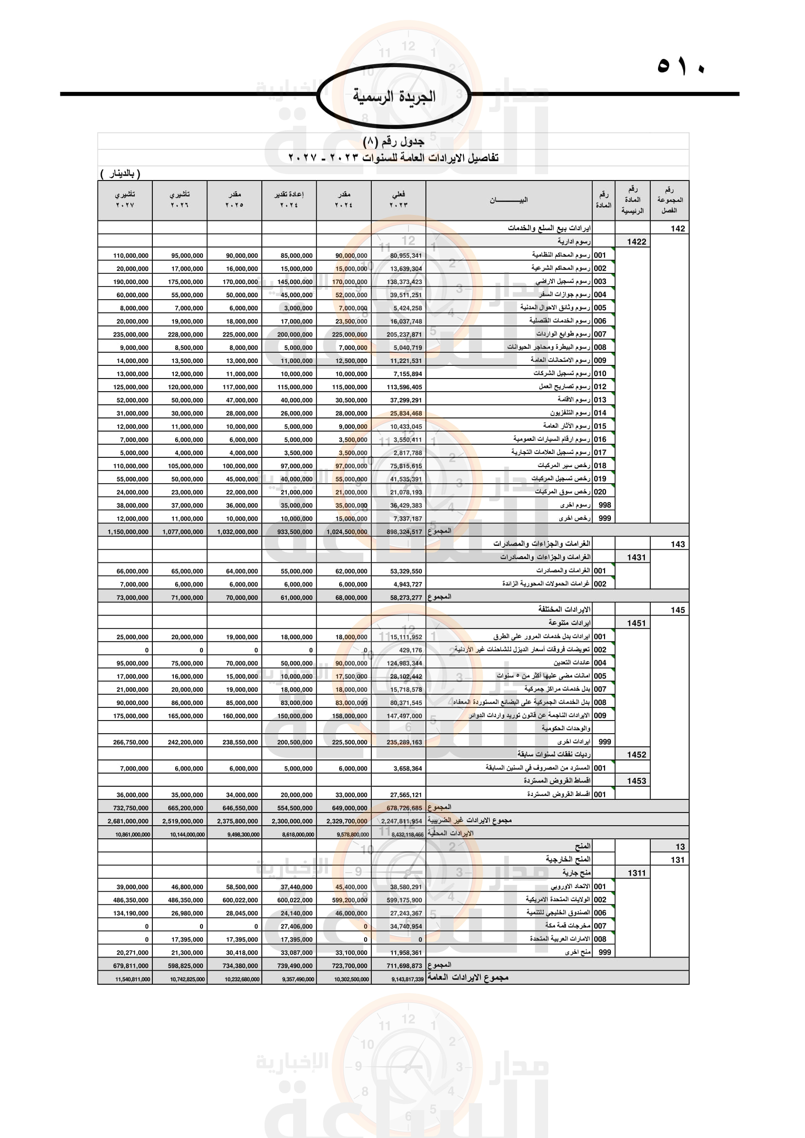
وتاليا التفاصيل الكاملة:
مدار الساعة - صدرت الإرادة الملكية السامية بالموافقة على قانون الموازنة العامة لسنة 2025.
















































































