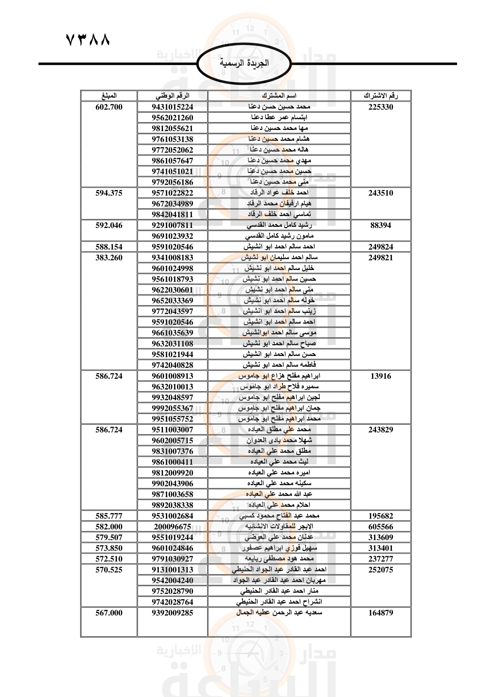
مدار الساعة - طالب أمين عام سلطة المياه بالوكالة المهندس وائل الدويري التالية اسماؤهم المكلفين بتسديد المبالغ المتحققة عليهم لخزينة سلطة المياه / شركة مياهنا (عمان) وشركة مياه العقبة وتخلفوا عن تسديدها رغم اشعارهم بذلك ومقدار المبالغ المطلوبة من كل واحد منهم، وفي حال تخلفهم عن الدفع خلال 60 يوما من تاريخ نشر هذا الاعلان في الجريدة الرسمية ستتخذ اجراءات الحجز على أموالهم حسب الاصول.
وتاليا الاسماء:






































