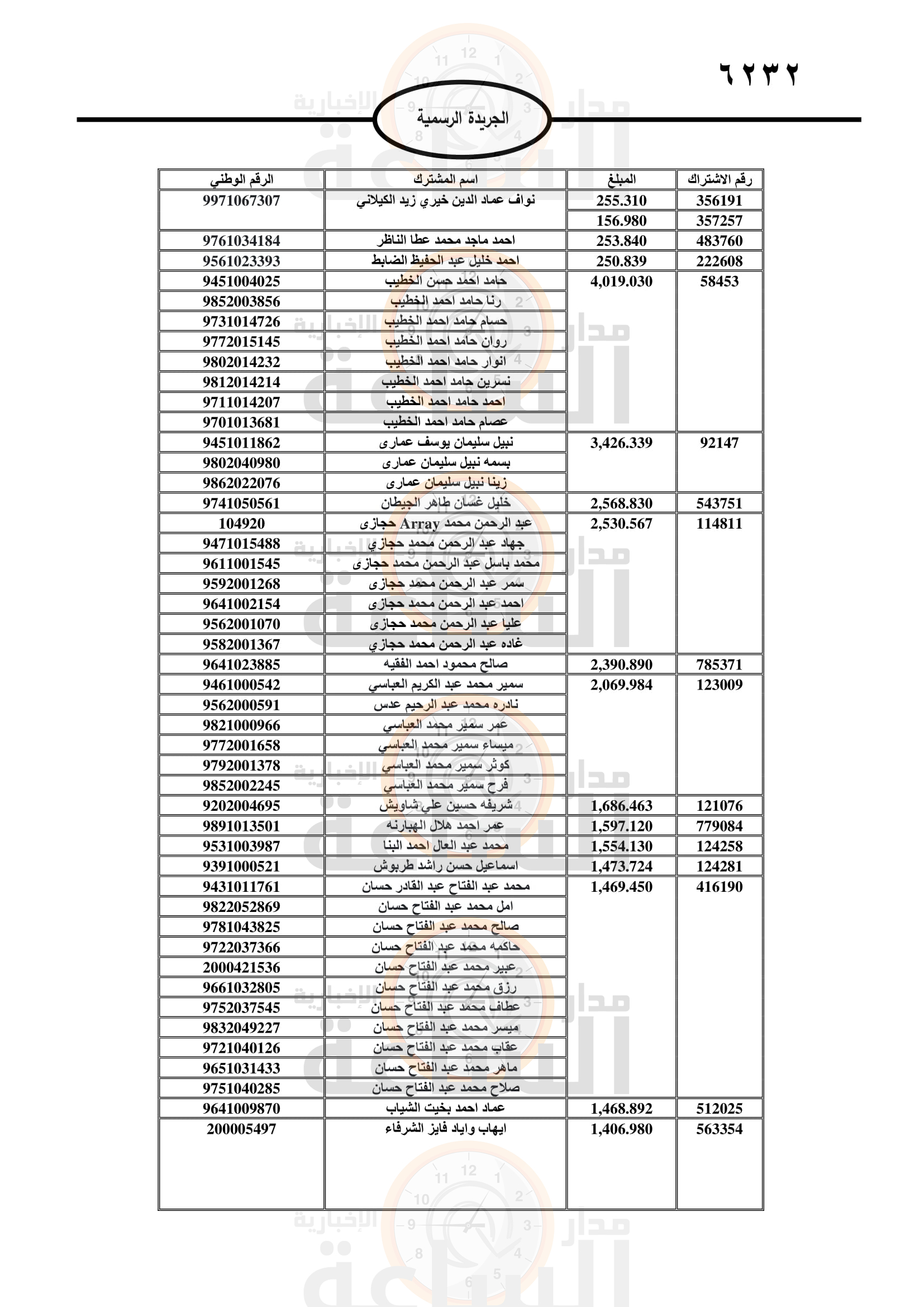
مدار الساعة - طالب امين عام سلطة المياه بالوكالة المهندس وائل الدويري واستنادا لقانون تحصيل الاموال العامة، التالية اسماؤهم المكلفين بتسديد المبالغ المتحققة عليهم لخزينة سلطة المياه / شركة مياهنا - عمان وتخلفوا عن تسديدها رغم اشعارهم بذلك ومقدار المبالغ المطلوبة من كل واحد منهم، وفي حال تخلفهم عن الدفع خلال 60 يوما من تاريخ نشر هذا الاعلان في الجريدة الرسمية ستتخذ اجراءات الحجز على الاموال حسب الاصول.
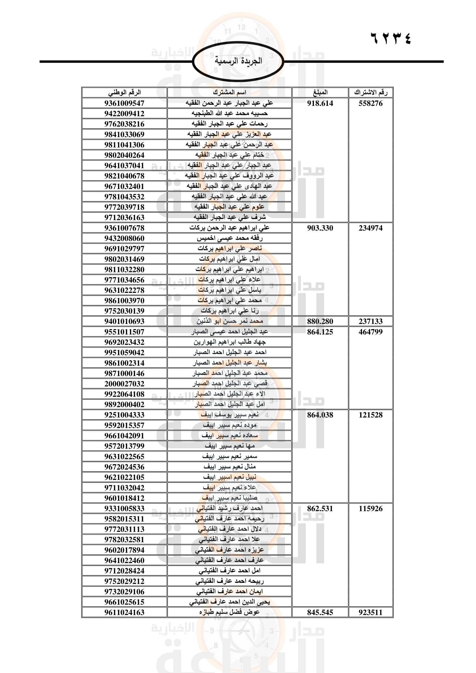
كما واستنادا لقانون تحصيل الاموال العامة، التالية اسماؤهم المكلفين بتسديد المبالغ المتحققة عليهم لخزينة سلطة المياه وتخلفوا عن تسديدها رغم اشعارهم بذلك ومقدار المبالغ المطلوبة منهم لدى شركة مياه اليرموك، وفي حال تخلفهم عن الدفع خلال 60 يوما من تاريخ نشر هذا الاعلان في الجريدة الرسمية ستتخذ اجراءات الحجز على الاموال حسب الاصول.
وتاليا الاسماء:






















































































































